МГЭПТК

Версия для слабовидящих

Включить/выключить навигацию
  • Русский(RU)
  • Главная
  • Новости
  • О колледже
    • Структура
    • Руководство и администрация
    • Задачи и функции
    • Всё о нас
    • Контакты
    • Организация питания
    • Свободные места
      • Среднее специальное образование
      • Профессионально-техническое образование
    • История МГЭПТК
  • Одно окно
    • Административные процедуры
    • Заказ справок
    • Нормативные правовые документы
    • Портал рейтинговой оценки
  • Обращения граждан и юридических лиц
  • Учащемуся
    • Заочное отделение
    • ССО
    • ПТО
    • Расписание звонков
    • Выпускнику
  • Абитуриенту/Поступающему
    • Приемная комиссия ПТО
      • Проходные баллы прошлого года ПТО
      • Списки зачисленных на уровень ПТО
      • Информация о ходе приема документов ПТО
      • Информация о зачислении
      • Контрольные цифры приема ПТО
      • Целевая подготовка
      • Приемная комиссия ПТО
      • Перечень документов для поступления на уровень ПТО
      • Описание наших профессий
      • «Горячая линия» Министерства образования
      • Часто задаваемые вопросы
      • Расписание вступительных испытаний
    • Приемная комиссия ССО
      • Проходные баллы прошлого года ССО
      • Списки зачисленных на уровень ССО
      • Информация о зачислении
      • Информация о ходе приема документов ССО
      • Контрольные цифры приема ССО
      • Требования к квалификации и разряду при поступлении на основе профессионально-технического образования
      • Целевая подготовка
      • Информация о приемной комиссии
      • Перечень документов для поступления на ССО
      • Программы вступительных испытаний
      • Перечень необходимых инструментов и материалов для сдачи вступительного испытания по специальности Дизайн мультимедиа
      • Расписание вступительных испытаний
      • «Горячая линия» Министерства образования
      • Часто задаваемые вопросы
    • Инклюзивное образование
    • Профориентационный кабинет
    • Трудоустройство
    • Общежитие
    • Профориентационные активности для школьников
    • Профоританционная листовка
    • Потребность организаций-заказчиков кадров
    • Сборники основных нормативных правовых актов Республики Беларусь, регулирующих вопросы приема
  • СДО
  • Youtube
  • Музей
  • Год белорусской женщины

Мы используем файлы cookie, чтобы вам было удобнее пользоваться нашим сайтом. Продолжая использование сайта, вы соглашаетесь c использованием нами файлов cookies. Информация

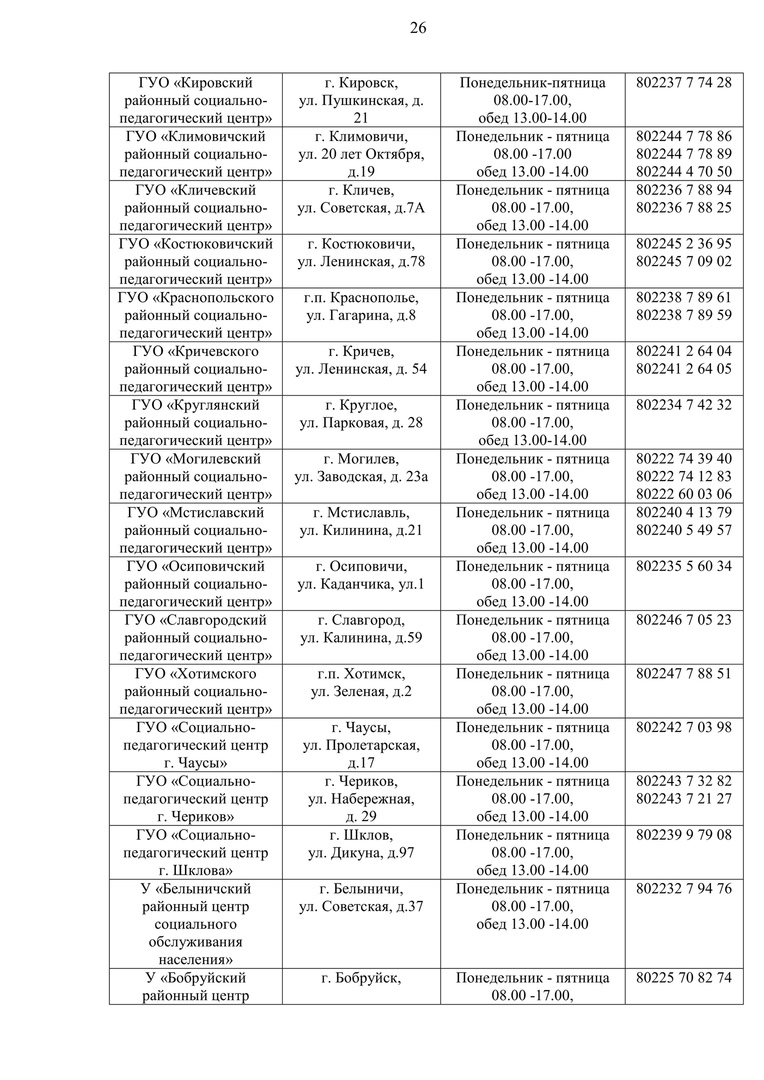
Региональная карта оказания помощи несовершеннолетним, потерпевшим от сексуального насилия, торговли людьми и связанных с ней преступлений

  • Печать
  • E-mail

 

 

Опубликовано: 13 июня 2023
Просмотров: 1875

Наверх

© 2026 МГЭПТК